본 사이트는 더 이상 유지보수되지 않습니다. 새로운 사이트인 www.novamedicaprep.com으로 이동해 주세요.
🗞️ News

STEM + MED, 이공계 최상위 엘리트들이 지도하는 상위 0.1% 다학제 리서치 스튜디오

미네르바프렙은 메인 강사진이 영재학교, 과학고를 졸업하고 SKP 이공계 수석 및 최우등 졸업, 의대 본과 이상 재학 중인 대한민국 이공계 상위 0.1% 엘리트로 구성되어 있습니다. 저희가 직접 고등학교 때부터 리서치와 Science Fair를 경험하며 쌓아온 노하우, 치열하게 경쟁하여 선두로 이겨낸 탑스쿨에서의 전공 지식, 수많은 SCIE급 저널로 입증된 연구 역량으로 학생들에게 최적화된 연구 경험을 제공합니다. 특히, 한 명의 강사가 프로그램을 맡지 않고, 프로그램을 위해 여러 전공의 강사들이 모여 다학제 연구 설계를 진행하는 것이 저희의 가장 큰 프라이드입니다. 과학적 글쓰기를 기반으로 한 커리큘럼, 연구 멘토링, 그리고 출판 수준의 결과물을 보여드립니다.

30+
Projects & Labs
100+
Students Mentored
10
Selected Papers

Instructors

Jihwan Bae

Jason Bae

Director • Research Mentor
  • (현) 미네르바프렙 대표원장
  • (전) 탑클유학원 메디컬 프로그램 강사
  • (전) 위더엘리트 AP Cal BC 강사
  • (전) 서초 USIS AP Cal BC 교사
  • (전) 압구정 브롬튼에듀 AP 강사
  • (전) LG전자 AI 프로그래밍 강사
  • 리서치 프로그램 전문 강사
  • Caltech 학부 Research Fellow
  • 부산과학고등학교 졸업
  • 정부출연연구소 AI 연구원 출신
Instructor Placeholder 1

Ayaan Baik

Research Director
  • (현) 미네르바프렙 리서치 프로그램 총괄
  • (전) S&S 아카데미 AP Statistics, Physics 강사
  • (전) 노아아카데미 AP Chemistry 강사
  • (전) 어라운즈학원 IB Chemistry 강사
  • (전) 프린스턴리뷰 AP Chemistry 강사
  • 포항공과대학교 전기전자공학 학사 졸업(B.S.)
  • 포항공과대학교 의생명화학 박사 졸업(Ph.D.)
  • 국제의료기술학회 최우수 연구자상
  • 삼성전자 연구원 출신
Instructor Placeholder 2

Ashley Kwon

Head Essayist
  • (현) 미네르바프렙 메디컬 프로그램 총괄
  • (현) 미네르바프렙 에세이스트
  • Columbia University 생물학 학사 우등 졸업(B.S.)
  • UC Berkeley, 대사생물학 석사 졸업(M.S.)
  • AstraZeneca 연구원 출신
  • 의학/생명과학 SCIE급 논문 다수 보유
Instructor Placeholder 3

Kelly Lee

Bio/Chem Instructor
  • (현) 미네르바프렙 Biochemistry 대표 강사
  • (전) 대치 컨설팅 메디컬 컨설턴트
  • (전) 이끌다 교육연구소 메디컬 멘토
  • 연세대학교 생화학 학사 졸업(B.S.)
  • 연세대학교 고등과학원 연구원 출신
  • 2024 한국 의학교육입문검사 자연과학2 수석
  • School of Dentistry/School of Medicine 합격
Instructor Placeholder 4

Stephen Jung

Bio/Chem Instructor
  • (현) 미네르바프렙 AP Biology 대표 강사
  • (전) 제주 뉴욕아카데미 GPA 강사
  • (전) 제주 뉴욕아카데미 AP Biology 강사
  • 제주 국제학교 전문(NLCS, BHA, SJA, KIS) 모두 지도
  • 부산일과학고등학교 졸업
  • 포항공과대학교 생명과학 학사 수석 졸업(B.S.)
  • 포항공과대학교 이학사 수석 졸업
  • School of Medicine, Cha Univ.
Instructor Placeholder 5

Justin Lee

Physics/Math Instructor
  • (현) 미네르바프렙 Math, Physics 대표 강사
  • (전) 자사고 수리면접 강사
  • (전) 대치 리즈집현전 강사
  • 경기과학고등학교 수석 입학
  • 서울대학교 기계공학 학사 수석 졸업(B.S.)
  • 서울대학교 공과대학 차석 졸업
  • 정부출연연구소 Robotics 연구원 출신
  • 올림피아드 수상자 출신(수학, 물리, 화학)
Instructor Placeholder 6

Sean Shin

Economy Instructor
  • (현) 미네르바프렙 AP Economy 대표강사
  • (전) SAMSIN AI 리서처
  • (전) TALOS AI 리서치 엔지니어
  • 세종과학고등학교 졸업
  • 서울대학교 경제학 학사 최우등 졸업(B.S.)
  • KAIST 인공지능 대학원 석사 졸업(M.S.)
  • AI 관련 논문 다수 보유
Instructor Placeholder 7

Steven Kang, MD

Head Medical Research Consultant
  • (현) 미네르바프렙 메디컬 프로그램 대표강사
  • (전) 분당차병원 연구원
  • (전) 글로벌 컨설팅펌 출신
  • (전) 서울아산병원, 삼성서울병원 서브인턴
  • 대구과학고등학교 졸업
  • 포항공과대학교 생물학 학사 수석 졸업(B.S.)
  • 포항공과대학교 전체 차석 졸업
  • 한국생물올림피아드(KBO) 국가대표 상비군 출신
  • 의학 SCIE 논문 다수 보유
Daniel

Daniel

Head Consultant
  • 미네르바 대학교
  • 컬럼비아 대학교 교육대학원 CAP 이수
  • NACAC, ASCA 정회원 초빙
  • 스탠퍼드, 고려대, 연세대 교육기업 발표
  • 지도 학생 T20, T30 다수 합격

Projects

Vascular Network
🏆 1st Place at the Dover Science Conference 🏆

Angiogenesis Modeling by Region-Specific Vascular Dynamics

Angiogenesis, the formation of new blood vessels, is critical for cancer progression and metastasis. This study investigates how location-specific vascular dynamics, such as pressure gradients and flow rates, influence angiogenesis rates. Using computational modeling, vascular networks were simulated for different body regions, including arms or legs, kidneys, and lungs, employing biophysical equations like Hagen-Poiseuille's law. The results show that regions with lower pressure gradients (e.g., lungs and arms/legs) exhibit faster angiogenesis due to hypoxia-driven compensatory mechanisms, while highly perfused regions (e.g., kidneys) demonstrate slower angiogenesis despite higher pressure gradients. These findings highlight that angiogenesis is not solely pressure-driven but influenced by the interplay of hypoxia and vascular regulation. This study provides insights into how tumor location impacts angiogenesis and metastasis, offering a foundation for tailoring anti-angiogenic therapies and advancing our understanding of vascular dynamics in cancer progression.

Gingivitis
🏆 Best Paper Award at the KIICE Conference 🏆

Calibration for Gingivitis Binary Classifier via Epoch-wise Decaying Label-Smoothing

Future healthcare systems will heavily rely on ill-labeled data due to scarcity of the experts who are trained enough to label the data. Considering the contamination of the dataset, it is not desirable to make the neural network being overconfident to the dataset, but rather giving them some margins for the prediction is preferable. In this paper, we propose a novel epoch-wise decaying label-smoothing function to alleviate the model over-confidency, and it outperforms the neural network trained with conventional cross entropy by 6.0%.

Dentiphone
🏆 1st place at the National AI Dental Industry Idea Competition (Over 300 participating teams) 🏆

AI-Powered Bone Conduction Hearing Aid Based on a Micro-Locking Implant System

Age-related hearing loss is a major geriatric issue, yet hearing aid use among the elderly remains below 12% due to discomfort, poor clarity, and high cost. Team Dentiphone proposes an AI-driven bone conduction hearing aid integrated into a Micro-Locking dental implant system to address these challenges. The device incorporates a Bluetooth 5 module, vibration motor, micro-battery, and PVDF-TrFE piezoelectric film within a detachable implant abutment. It enables energy harvesting through chewing and wireless charging while transmitting AI-enhanced stereo sound via smartphones and wearables. Using Audio Super-Resolution and compressed sensing, it minimizes signal loss and enhances speech perception. This system offers a non-invasive, cost-effective alternative to conventional bone-anchored hearing aids and aligns with the rapidly growing global market for smart healthcare and hearing restoration technologies.

tb
🏆 2nd place at the Smart Tuberculosis Management Solution Idea Competition (ahead of top medical AI firms in Korea) 🏆

A Multimodal LLM-Based Smart Management System for Enhancing Medication Adherence in Tuberculosis Patients

Tuberculosis (TB) treatment often fails due to poor medication adherence caused by side effects, complex dosing, and limited accessibility. TB-GPT is a multimodal LLM-based chatbot developed to improve adherence and communication during treatment. Patient information is stored in a secure database, and the patient’s prompt is analyzed by the LLM to generate initial medication guidance. A clinical pharmacology specialist then reviews and confirms the final version. Through the chatbot interface, patients receive real-time feedback, allowing continuous monitoring and timely management of side effects. This system effectively reduces healthcare workload, enhances accessibility, and provides a scalable framework for AI-driven therapeutic support applicable to other chronic diseases.

Publications

Aspirin & Lung Cancer Risk

Aspirin-modulated COX-2 Dynamics under PM2.5 Exposure for Lung Cancer Risk

Lung cancer remains one of the leading causes of cancer-related mortality worldwide. Epidemiological studies have established a significant correlation between exposure to fine particulate matter (PM2.5) and an increased risk of lung cancer. Notably, PM2.5 derived from wildfire smoke has been shown to exhibit greater toxicity than PM2.5 from other sources, due to its higher oxidative potential and pro-inflammatory composition. The COX-2 enzyme, a crucial mediator of inflammation, is known to be upregulated in response to PM2.5 exposure, promoting tumorigenesis. This study employs a mathematical modeling approach to describe COX-2 induction using a modified Michaelis-Menten equation, incorporating real-world clinical hazard ratios. Furthermore, the inhibitory effect of aspirin, a nonsteroidal anti-inflammatory drug (NSAID), is modeled to determine its potential role in mitigating lung cancer risk. Monte Carlo simulations are conducted to evaluate variability in exposure-response relationships. Our results suggest a dose-dependent reduction in COX-2 levels with aspirin intake, which correlates with a significant decrease in estimated lung cancer risk. These findings provide a quantitative framework for understanding environmental risk mitigation and suggest potential pharmacological intervention strategies.

Solar

Solar Energy Forecasting in Gwangju Using PM10 Data and Physics-Informed Neural Networks

Accurate solar power forecasting is essential for stable grid operation and the efficient integration of renewable energy sources. While traditional data-driven models often neglect atmospheric influences such as particulate pollution, this study investigates the impact of PM10 on solar energy development in Gwangju, South Korea. We construct a novel dataset merging solar, weather, and air quality data from 2017 to 2024 and evaluate multiple deep learning models, including a Multi-Layer Perceptron (MLP), Long Short-Term Memory network (LSTM), Physics-Guided Neural Network (PGNN), and Physics-Informed Neural Network (PINN). PGNN and PINN incorporate the Beer–Lambert law into the loss function to enforce physical consistency between solar irradiance, pollution concentration, and power output. Results reveal that the MLP achieved the lowest mean squared error, outperforming even physics-augmented models, while PINN exhibited the highest error due to over-constraining. This work is among the first to integrate PM10 data and physics priors into a solar energy forecasting pipeline for Korea, offering a reproducible methodology that balances accuracy and interpretability. The full dataset and implementation will be released publicly upon publication to encourage further research in physics-informed solar modeling.

Turbulence

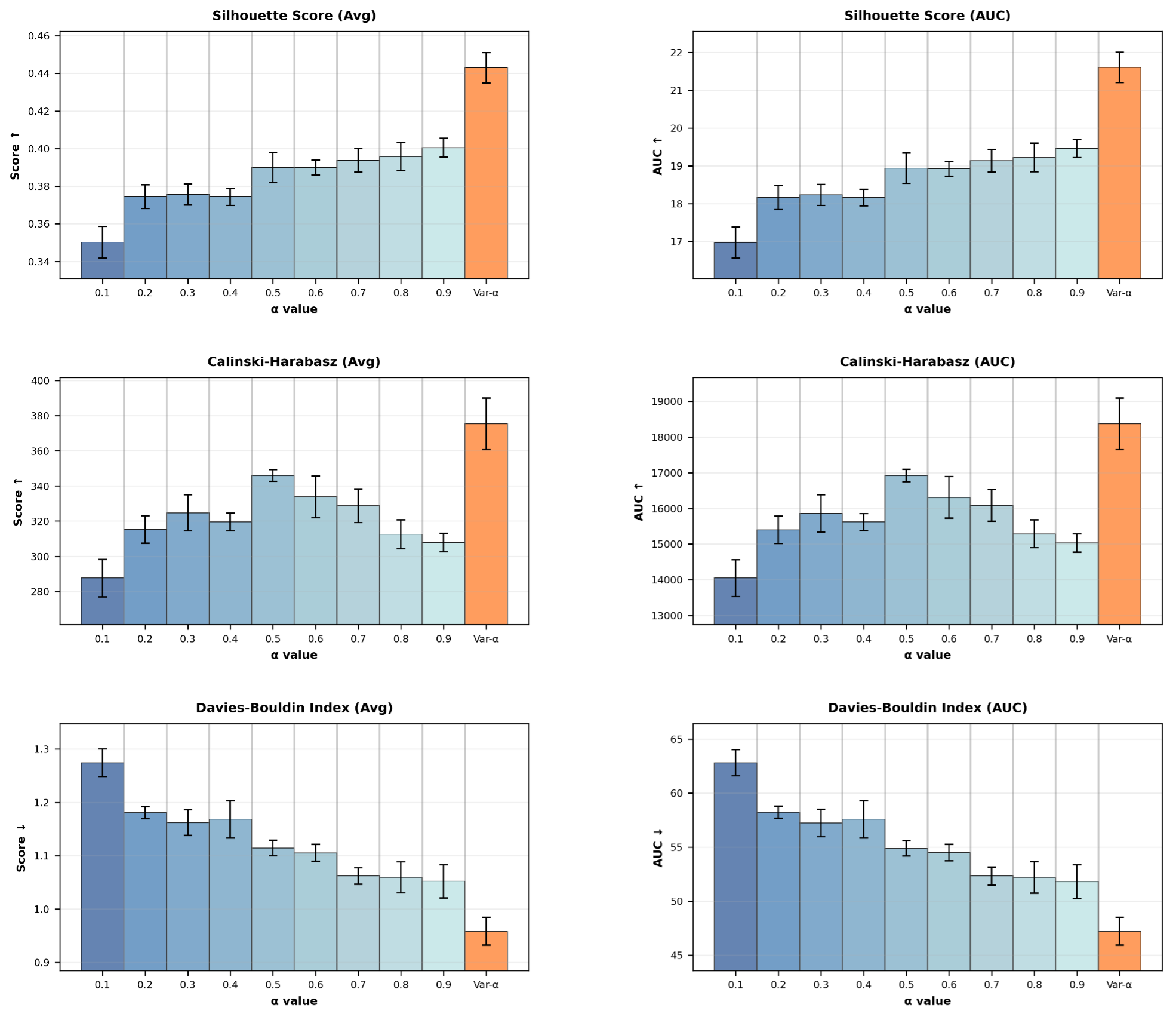
Redefining the Data Foundations of Turbulence Research: A Physics-Informed Active Sampling Approach

Poorly organized flight-state data remain a major obstacle in the reliable prediction of aviation turbulence, as instability-prone flight conditions are often buried among abundant routine operations. When these rare but critical states are obscured, predictive models fail to recognize the aerodynamic patterns that precede turbulence, reducing sensitivity to real-world hazardous events. This study explores whether combining uncertainty-based active sampling with physics-informed selection criteria can yield more coherent and structurally organized datasets, in which physically distinct rare states emerge as well-represented groups separate from routine operational data, thereby enhancing both dataset diversity and the physical interpretability of data groupings. Flight data were processed through a dual-layer sampling framework that assigns adaptive weighting to statistical uncertainty and aerodynamic relevance, and selected datapoints were represented in a multidimensional feature space using kmeans clustering to evaluate improvements in data organization. Results showed that this combined approach produced clearer separation between physically distinct flight regimes and yielded higher clustering quality metrics than conventional sampling. Beyond these results, the core contribution of this work is its pioneering nature—it introduces machine-driven active sampling with physics-informed reasoning at the data-preparation stage, a direction rarely explored in aerospace research. The scope of this study is specifically focused on evaluating whether combining uncertainty-based and physics-informed sampling can improve dataset structural quality, as measured through clustering coherence metrics (e.g., silhouette score, Calinski-Harabasz index, Davies-Bouldin index), rather than directly assessing downstream predictive model performance. This study should therefore be regarded as a proof-of-concept that examines the potential of adaptive, physics-aware data curation strategies to enhance the intrinsic organization and coherence of turbulence datasets, establishing a foundation for future work on turbulence modeling.

Contact

컨설팅/자료 관련 문의를 남겨주세요.

  • 이메일: mierojihan1008@gmail.com
  • 상담 가능: 월–금 10:00–18:00 (KST)
  • 응답: 영업일 기준 24시간 이내